background image

Executive Editor

Prof. Dr. Muhammad Akram Shaikh

Director General, PASTIC

Managing Editor

Dr. Syed Aftab Hussain Shah

Composer

Kashif Farooqui

T

ECHNOLOGY

R

OUNDUP

Technology Information Services Section (TIS)

Pakistan Scientific & Technological Information Centre

PASTIC

May-June, 2021

Vol.13 No. 3

A NEWS BULLETIN

Tech News Headlines

Tech & Trade Offers

Phone: 051-9248103-4, 9248128
Fax: 051-9248113
Email: tis.pastic@gmail.com
Web: www.pastic.gov.pk

PASTIC National Centre
Quaid-i-Azam University Campus
P.O. Box 1217, Islamabad

Editorial Board

l

DRAP APPROVES PAKISTAN'S 'FIRST ICU VENTILATOR'
CREATED BY PAKISTAN ATOMIC ENERGY COMMISSION

l

IAEA AWARDS PAKISTANI NUCLEAR INSTITUTION,
SCIENTISTS IN THREE CATEGORIES

l

FIRST PAKISTAN DIGITAL BANK TO START IN JUNE AFTER
RAISING FUNDS

l

A SAFER, GREENER WAY TO MAKE SOLAR CELLS: TOXIC
SOLVENT REPLACED

l

UNBROKEN: NEW SOFT ELECTRONICS DON'T BREAK,
EVEN WHEN PUNCTURED

l

AI USED TO PREDICT UNKNOWN LINKS BETWEEN VIRUSES
AND MAMMALS

l

TRANSPARENT NANOLAYERS FOR MORE SOLAR POWER

Forthcoming Tech Events

l International Conference on Innovative Engineering Technologies

l International Conference on Science Technology and Management

l

World Congress On Information Technology And Computer Science

l

World Congress On Industrial Biotechnology

l

International Conference on Science Engineering and Management

l

International Conference on Science & Technology

l

International Conference on Nursing and COVID

l

International Conference on Science & Technology Research

SKY ELECTRIC


background image

Technology Roundup

2

DRAP APPROVES PAKISTAN'S 'FIRST ICU VENTILATOR'

CREATED BY PAKISTAN ATOMIC ENERGY COMMISSIO

N

PACE's engineers and scientists developed that ventilator and following all the essential quality standard and
all the regulatory function's requirement, the body claimed in a statement. Furthermore, they stated that at
PACE hospital in Islamabad, the doctors are provided with input as well during the development process.

PAEC (the Pakistan Atomic Energy Commission) recently stated that Pakistan's “first ICU (indigenous
intensive care unit) ventilator”: i-Live has been developed by them.

The evaluation team from PEC (the Pakistan Engineering Council) and Pakistan Innovation and Technology
Centre tested the i-Live ventilator and declared it fine and approved it, said PACE. At Jinnah Hospital in
Lahore, the Clinical trials of the ventilator were conducted under the supervision of senior doctors, medical
researchers, and biomedical engineers. In short, the ventilator has passed all the stages of medical validation
and engineering evaluation successfully.

Moreover, the spokesperson of PAEC, Shahid Riaz Khan stated that today, the Drug Regulatory Authority of
Pakistan (DRAP) has also approved the ventilator, and from now onward, the “i-Live” will be supplied and
manufactured by PAEC to all the hospitals of Pakistan This is indeed a big development in manufacturing and
designing the life-saving equipment.

Mohammad Naeem the Chairman of PAEC also congratulated the doctors, scientists, and engineers who are
involved in the development of the ventilator and the production is a great quantity of i-Live will immediately
meet the increasing demand in the context of the ongoing Corona pandemic. The previous day, Senator Shibli
Faraz, Minister for Science and Technology said that the registration of ventilators with DRAP his ministry
would expedite to ensure the timely availability of their induction in export and the healthcare system.

Source:

www.pakistantechnews.com/drap-approves-pakistans-first-icu-ventilator-created-by-pakistan-
atomic-energy-commission


background image

Technology Roundup

3

IAEA AWARDS PAKISTANI NUCLEAR INSTITUTION, SCIENTISTS IN THREE

CATEGORIES

The International Atomic Energy Agency (IAEA) and the UN Food and Agriculture Organisation (FAO)
have jointly conferred awards on Pakistan's Nuclear Institute for Agriculture and Biology (NIAB) and
five of the country's scientists, according to a statement issued by the Ministry of Foreign Affairs. The
NIAB and the scientists have been given the awards in recognition of "Pakistan's advancement in the
application of nuclear technology for the achievement of Sustainable Development Goals, including food
security".

:

Courtesy

http://www.niab.org.pk/

Among the Pakistani recipients of the awards, the NIAB has bagged the Outstanding Achievement
Award, a group of four scientists in the Pakistan Atomic Energy Commission (PAEC) has bagged the
Team Achievement Award and another PAEC scientist has been given the Young Scientist Award for his
work in plant mutation breeding and related technologies.

th

Award certificates will be presented to the recipients during the IAEA's 65 General Conference in
September 2021.

"Extensive civilian nuclear applications in Pakistan are directly contributing to the well-being of the
people and national development in the areas of public health, medicine, agriculture, industry and nuclear
power generation".

Source:

www.dawn.com/news/1631226/iaea-awards-pakistani-nuclear-institution-scientists

http://mofa.gov.pk/iaea-

&

and-fao-announce-achievement-awards-for-pakistani-institution-and-scientists-in-three-categories


background image

4

Technology Roundup

FIRST PAKISTAN DIGITAL BANK TO START IN JUNE AFTER RAISING

FUNDS

TAG Innovation Pvt. is set to become Pakistan's first digital bank when it starts operations this month in the world's
fifth most populous nation where 70% of adults don't have a bank account. The Islamabad-based fintech startup
will launch with a limited number of customers and start commercial operations in two to three months, Chief
Executive Officer Talal Gondal said in an interview. It aims to have millions of customers in the first few years, he
said.

Courtesy: Merchant Machine, Intermarket Securities.

https://www.bloomberg.com/news/articles/2021-06-

03/world-s-fifth-largest-nation-gets-its-first-digital-bank-in-june

The company has raised about $5.5 million in pre-seed funding, making it one of five biggest deals in the Middle
East, Africa and Pakistan region, according to data from Crunchbase. The funding round was led by Quiet Capital
Management and Liberty City Ventures. TAG also received strategic angel investments from general partners of
Andreessen Horowitz, Khosla Ventures LLC , Canaan Partners and Mercury's Immad Akhund.. TAG joins other
digital payment startups in raising funds as digital banks take off in emerging markets where millions lack access
to banking services. Razorpay, an Indian startup that facilitates digital payments, said in April it was raising $160
million, while Egyptian digital banking app Telda raised $5million last month.

Pakistan has the third largest unbanked adult population globally with about 100 million adults without a bank
account, according to the World Bank. About 70% of the population doesn't have a bank account, according to
Raza Jafri, head of equities at Intermarket Securities Ltd. Potential customers complain about the lengthy
documentation process and multiple branch visits needed to open an account. “In Pakistan, the system is broken,”
said Gondal. “Some banks don't even have a banking app. It's that bad.”TAG plans to make the process simple with
potential customers needing just a copy of their national identification card and a selfie. Accounts should be
opened within three minutes, Gondal said. Pakistan's central bank governor Reza Baqir said in April that he
welcomes digital banks in the country, including full-fledged digital banks and smaller ones to constructively
shape up the industry.

Source:

www.bloomberg.com/news/articles/2021-06-03/world-s-fifth-largest-nation-gets-its-first-digital-bank-in-june


background image

3

5

Technology Roundup

A SAFER, GREENER WAY TO MAKE SOLAR CELLS: TOXIC

SOLVENT REPLACED

Scientists at SPECIFIC Innovation and Knowledge Centre, Swansea University, have found a way to replace the
toxic, unsustainable solvents currently needed to make the next generation of solar technology.

Figure 1.

a) Schematic representation of CPSC infiltration procedure with the corresponding cross-sectional

SEM of an uninfiltrated stack and labeled layers. b) Chemical structures of GVL and GBL. Courtesy:

https://onlinelibrary.wiley.com/doi/10.1002/ente.202100312

Printed carbon perovskite solar cells have been described as a likely front runner to the market because they are
extremely efficient at converting light to electricity, cheap and easy to make.
A major barrier to the large-scale manufacture and commercialisation of these cells is the solvents used to control
crystallisation of the perovskite during fabrication: this is because they are made from unsustainable materials
and are banned in many countries due to their toxicity and psychoactive effects.
SPECIFIC's researchers have discovered that a non-toxic biodegradable solvent called γ-Valerolactone (GVL)
could replace these solvents without impacting cell performance.
GVL's list of advantages could improve the commercial viability of carbon perovskite solar devices:

·

It is made from sustainable feedstocks

·

There are no legal issues in its use around the world

·

It is suitable for use in large-scale manufacturing processes

·

It is non-toxic and biodegradable

Carys Worsley, who led the research as part of her doctorate, said:

"To be truly environmentally sustainable, the way that solar cells are made must be as green as the energy they
produce. As the next generation of solar technologies approaches commercial viability, research to reduce the
environmental impact of large-scale production will become increasingly important."
Professor Trystan Watson, research group leader, added:
"Many problems need to be resolved before these technologies become a commercial reality. This solvent
problem was a major barrier, not only restricting large-scale manufacture but holding back research in countries
where the solvents are banned.
We hope our discovery will enable countries that have previously been unable to participate in this research to
become part of the community and accelerate the development of cleaner, greener energy."

Source:

www.sciencedaily.com/releases/2021/05/210519163642.htm


background image

6

Technology Roundup

UNBROKEN: NEW SOFT ELECTRONICS DON'T BREAK, EVEN WHEN

PUNCTURED

Want a smartphone that stretches, takes damage, and still doesn't miss a call?

A team of Virginia Tech researchers from the Department of Mechanical Engineering and the Macromolecules
Innovation Institute has created a new type of soft electronics, paving the way for devices that are self-healing,
reconfigurable, and recyclable. These skin-like circuits are soft and stretchy, sustain numerous damage events
under load without losing electrical conductivity, and can be recycled to generate new circuits at the end of a
product's life.

Led by Assistant Professor Michael Bartlett, the team recently published its findings in Communications
Materials
, an open access journal from Nature Research.

Current consumer devices, such as phones and laptops, contain rigid materials that use soldered wires running
throughout. The soft circuit developed by Bartlett's team replaces these inflexible materials with soft electronic
composites and tiny, electricity-conducting liquid metal droplets. These soft electronics are part of a rapidly
emerging field of technology that gives gadgets a level of durability that would have been impossible just a few
years ago.

The liquid metal droplets are initially dispersed in an elastomer, a type of rubbery polymer, as electrically
insulated, discrete drops.

"To make circuits, we introduced a scalable approach through embossing, which allows us to rapidly create
tunable circuits by selectively connecting droplets," postdoctoral researcher and first author Ravi Tutika said.
"We can then locally break the droplets apart to remake circuits and can even completely dissolve the circuits to
break all the connections to recycle the materials, and then start back at the beginning."

The circuits are soft and flexible, like skin, continuing to work even under extreme damage. If a hole is punched in
these circuits, the metal droplets can still transfer power. Instead of cutting the connection completely as in the
case of a traditional wire, the droplets make new connections around the hole to continue passing electricity.

The circuits will also stretch without losing their electrical connection, as the team pulled the device to over 10
times its original length without failure during the research.

At the end of a product's life, the metal droplets and the rubbery materials can be reprocessed and returned to a
liquid solution, effectively making them recyclable. From that point, they can be remade to start a new life, an
approach that offers a pathway to sustainable electronics.

While a stretchy smartphone has not yet been made, rapid development in the field also holds promise for
wearable electronics and soft robotics. These emerging technologies require soft, robust circuitry to make the leap
into consumer applications. "We're excited about our progress and envision these materials as key components
for emerging soft technologies," Bartlett said. "This work gets closer to creating soft circuitry that could survive
in a variety of real-world applications."

Source:

www.sciencedaily.com/releases/2021/06/210625173147.htm


background image

7

Technology Roundup

AI USED TO PREDICT UNKNOWN LINKS BETWEEN VIRUSES AND

MAMMALS

A new University of Liverpool study could help scientists mitigate the future spread of zoonotic and livestock
diseases caused by existing viruses.

Fig. 1: Example showcasing final and intermediate predictions of West Nile Virus (WNV), and Rousettus
leschenaultii. Courtesy:

https://www.nature.com/articles/s41467-021-24085-w/figures/1

Researchers have used a form or artificial intelligence (AI) called machine-learning to predict more than
20,000 unknown associations between known viruses and susceptible mammalian species. The findings,
which are published in Nature Communications, could be used to help target disease surveillance
programmes.

Thousands of viruses are known to affect mammals, with recent estimates indicating that less than 1% of
mammalian viral diversity has been discovered to date. Some of these viruses such as human and feline
immunodeficiency viruses have a very narrow host range, whereas others such as rabies and West Nile viruses
have very wide host ranges.

"Host range is an important predictor of whether a virus is zoonotic and therefore poses a risk to humans. Most
recently, SARS-CoV-2 has been found to have a relatively broad host range which may have facilitated its
spill-over to humans. However, our knowledge of the host range of most viruses remains limited," explains
lead researcher Dr Maya Wardeh from the University's Institute of Infection, Veterinary and Ecological
Sciences.

To address this knowledge gap, the researchers developed a novel machine learning framework to predict
unknown associations between known viruses and susceptible mammalian species by consolidating three
distinct perspectives -- that of each virus, each mammal, and the network connecting them, respectively.

Their results suggests that there are more than five times as many associations between known zoonotic
viruses and wild and semi-domesticated mammals than previously thought. In particular, bats and rodents,
which have been associated with recent outbreaks of emerging viruses such as coronaviruses and
hantaviruses, were linked with increased risk of zoonotic viruses.

The model also predicts a five-fold increase in associations between wild and semi-domesticated mammals
and viruses of economically important domestic species such as livestock and pets.

Dr Wardeh said: "As viruses continue to move across the globe, our model provides a powerful way to assess
potential hosts they have yet to encounter. Having this foresight could help to identify and mitigate zoonotic
and animal-disease risks, such as spill-over from animal reservoirs into human populations." Dr Wardeh is
currently expanding the approach to predict the ability of ticks and insects to transmit viruses to birds and
mammals, which will enable prioritisation of laboratory-based vector-competence studies worldwide to help
mitigate future outbreaks of vector-borne diseases.

Source:

www.sciencedaily.com/releases/2021/06/210625100511.htm


background image

7

Technology Roundup

78

TRANSPARENT NANOLAYERS FOR MORE SOLAR POWER

There is no cheaper way to generate electricity today than with the sun. Power plants are currently being built in
sunny locations that will supply solar electricity for less than two cents per kilowatt hour. Solar cells available
on the market based on crystalline silicon make this possible with efficiencies of up to 23 percent. Therefore
they hold a global market share of around 95 percent. With even higher efficiencies of more than 26 percent,
costs could fall further. An international working group led by photovoltaics researchers from
Forschungszentrum Jülich now plan to reach this goal with a nanostructured, transparent material for the front
of solar cells and a sophisticated design.

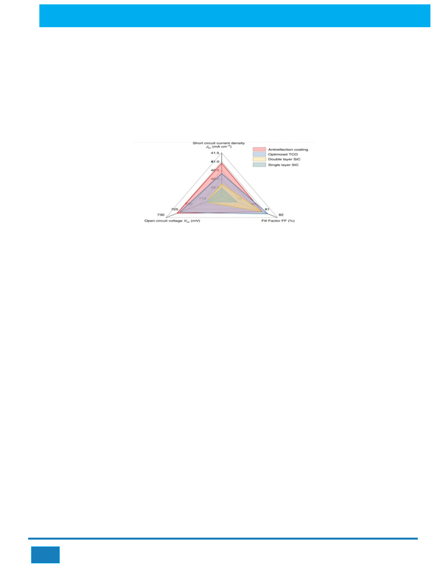
Fig. 4 | Illustration of the evolution of TPC solar cells. Evolution of the TPC IV parameters from single layer to
the double layer, the optimized ITO deposition, and the improvement due to MgF2 antireflection coating. The
optimization of the TPC solar cells is along these triangle points. All solar cells have been measured with
isolated back contacts of the surrounding cells (more details about the measurement are in Supplementary
Discussion 4). Courtesy

https://www.nature.com/articles/s41560-021-00806-9.pdf

Silicon solar cells have been steadily improved over the past decades and have already reached a very high level
of development. However, the disturbing effect of recombination still occurs after the absorption of sunlight
and the photovoltaic generation of electrical charge carriers. In this process, negative and positive charge
carriers that have already been generated combine and cancel each other out before they could be used for the
flow of solar electricity. This effect can be countered by special materials that have a special property --
passivation. The scientists report that their nanostructured layers offer precisely this desired passivation. In
addition, the ultra-thin layers are transparent -- so the incidence of light is hardly reduced -- and exhibit high
electrical conductivity.
No other approach so far combines these three properties -- passivation, transparency, conductivity -- as well as
their new design. Kaining Ding's research group plans to further optimize the power yield of its TPC solar cells

Source:

www.sciencedaily.com/releases/2021/04/210415114125.htm


background image

Technology Roundup

Technology Roundup

Pakistan

International Conference on Innovative Engineering Technologies

18-19 July 2021
Karachi

www.conferencealerts.co.in/events/eventdetail.php?id=1404092

International Conference on Science Technology and Management

28-29 July, 2021
Rawalpindi

www.astem.org/Conference2021/Pakistan/1/ICSTM/

World Congress On Information Technology And Computer Science

st

nd

1 -2 August, 2021
Peshawar

www.conferencealerts.net/event_detail.php?ev_id=413333

World Congress On Industrial Biotechnology

12-13 August, 2021
Multan

www.conferencealerts.net/event_detail.php?ev_id=400837

International

I

nternational Conference on Science Engineering and Management

26-27 August, 2021
Colombo, Srilanka

www.icsem.net/

International Conference on Science & Technology

7-8 September, 2021
Yogyakarta, Indonesia

www.icst.ugm.ac.id

International Conference on Nursing and COVID

29-30, September 2021
Singapore

www.larixconferences.com/nursing

International Conference on Science & Technology Research

7-8, October 2021
Istanbul, Turkey

www.10times.com/icrst-istanbul

Forthcoming Tech Events

9


background image

Tech & Trade Offers

About PASTIC

PASTIC serves as a gateway for
Scientific & Technological
Information for R&D by catering
to the information needs of
researchers, entrepreneurs,
industrialists, educationists,
policy makers and planners
t h r o u g h a n t i c i p a t o r y a n d
responsive information services.

T e c h n o l o g y I n f o r m a t i o n
Section works exclusively for
support and promotion of
technological information on
t r a d e a n d i n d u s t r y i n t h e
country. “Technology Roundup”
is a news bulletin that provides
latest and innovative technology
news, forthcoming events, etc. It
a l s o p r o m o t e s p r o d u c t s ,
t e c h n o l o g i e s a n d s e r v i c e s
globally in sectors such as Agro-
I n d u s t r y , B i o - T e c h n o l o g y ,
Building Material, Business,
Chemicals, Electronics, Energy,
Fisheries, Food Processing,
Machinery, Packaging, Mining
Pharmaceuticals and Textiles.

!

SKY ELECTRIC

Overview
Sky Electric Smart Solar System is the World's Smartest Solar
System with in-built Artificial Intelligence-based software,
Battery management software and 24/7 customer care
services. So far, Sky Electric Pvt Ltd is the fastest-growing
company in Pakistan and has been successful in creating a
footprint all over Pakistan with clients from residential,
commercial and industrial segments.

Commercial and Industrial Projects

Sky Electric provides customized Smart Solar Systems
according to the needs of different commercial and industrial
sectors. Business owners are switching to Sky Electric Smart
Solar System to maximize their work efficiency and
productivity with lowest energy costs. Our clients include.

Head Office :-

Islamabad Sales and National Operations
Floor 15, Islamabad Stock Exchange Tower, Blue Area,
Islamabad, Pakistan
Contact No. 0800 777 59
customer.care@skyelectric.com
www.skyelectric.com

Technology Roundup

Please give us your feedback and address queries to tis.pastic@gmail.com

10